Metamath
|
 Divergence
So far, we have considered the number of proper
subgroups of the additive group of the Galois field of eight elements
GF(8). Conveniently enough, these are all seven. (Seven of order two,
seven of order four.) there is but one of order one, and one of order
eight. For GF(4), there are three order two. So, are the number of
proper subgroups of GF(16), GF(32) and those fields with prime subfields
of other primes, 3, 5, 7 etc of orders powers of these primes also equal
to the order of their multiplicative groups?
Well, for example, whilst the number of order two
subgroups in GF(16) is fifteen, (and also order eight subgroups, since
each corresponds to a factor group of the image of a morphism with
each two-group as the kernel) The number of four groups in GF(16)
is 35. This is not one less than a power of any prime number.
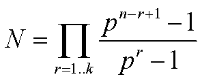
Without giving a proof for the following identity, the
number of subgroups N of a given prime power ordered field's additive
group GF(p,n)+ of a lesser power k, the number of additive
subgroups is given by:

(In Product notation, much like sigma summation
notation, but using Pi for product, not sum.)
The top power of 'p' counts down from 'n' and the bottom
power counts up from 1, both by the same degree of 'k'. The minimum
number of proper subgroups is given by k=1 and k=n-1, (when all powers
except for r=1 cancel) This identity is readily constructed, and
therefore this construction as applied to the number of subgroups, is a
proof that this identity always returns for N an integer value. The top
is always greater than or equal to the denominator. By reducing for a
smaller parent group, evaluating a substitution with m=n-1, reveals by
induction from the case m=k that N for the larger parent group is
greater than (or minimally equal to if m=n ) the N for the smaller.
Thus, as n increases, the result N is divergent in a near-exponential
fashion
For other primes, the number of subgroups may not equal
the order of the multiplicative group. for N to equal the nth power of
p, we require a denominator of one, with k=1. yet (p-1 = 1) only when p
= 2. Thus other primes diverge from the 'closed' set.
Continue To Next Page |